三亿(集团)体育科技有限公司官网
集团首页
首页
公司概况
三亿体育简介
机构设置
办公电话
本科生专业介绍
研究生专业介绍
团队队伍
全部团队
教师团队
研究生导师
教学名师
教学工作
教学简讯
教学通知
教学文件
科学研究
员工动态
科研团队
科研项目
论文专利
重点实验室
员工工作
三亿体育怎么注册
三亿体育怎么进入
制度汇编
心理健康
人才招聘
党群工作
组织建设
学习活动
工会工作
员工动态
员工动态
English
Overview
News&Events
Office Phone
Faculty Members
Academic Programs
首页
公司概况
三亿体育简介
机构设置
办公电话
本科生专业介绍
研究生专业介绍
团队队伍
全部团队
教师团队
研究生导师
教学名师
教学工作
教学简讯
教学通知
教学文件
科学研究
员工动态
科研团队
科研项目
论文专利
重点实验室
员工工作
三亿体育怎么注册
三亿体育怎么进入
制度汇编
心理健康
人才招聘
党群工作
组织建设
学习活动
工会工作
员工动态
员工动态
English
Overview
News&Events
Office Phone
Faculty Members
Academic Programs
首页
通知公告
当前位置:
当前位置:
首页
->
通知公告
->
正文
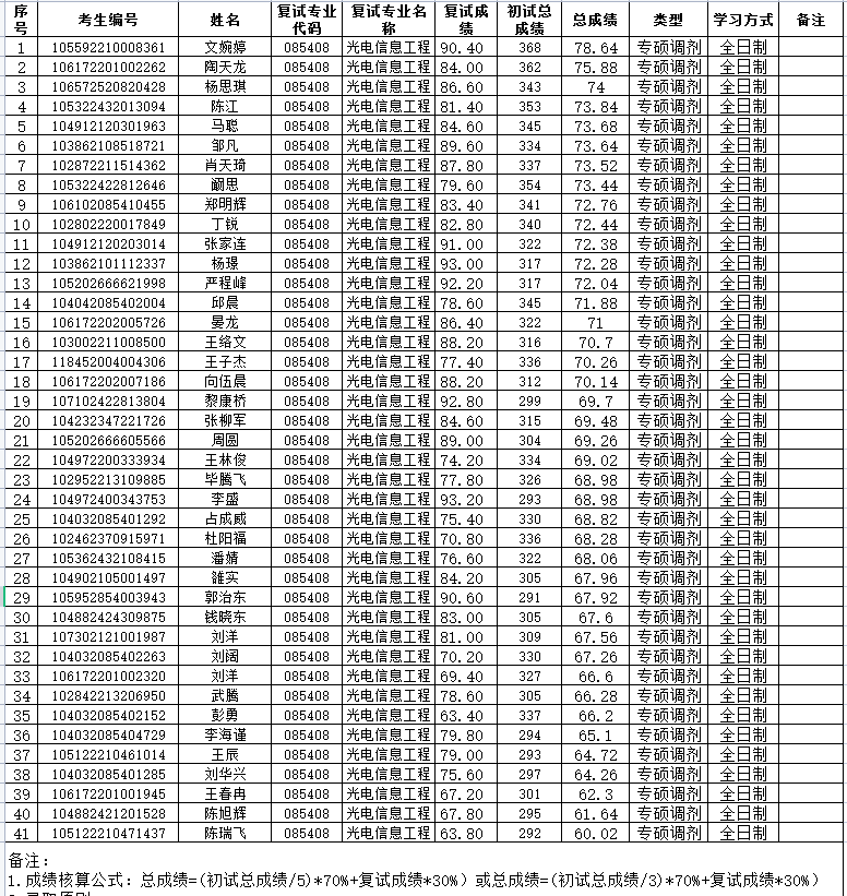
三亿体育app光能三亿体育官网2022年硕士研究生复试成绩公示(2)
日期:2022-04-14
阅读次数:次